金榜书城
公司网站
学问百事通
用户名:
密码:
注册
忘记密码
账号激活
欢迎你,
上传资源
会员中心
退出登录
·
设为首页
·
加入收藏
学科
语文
数学
英语
物理
化学
生物
政治
历史
地理
科学
综合
跨科
资源
试卷
课件
教案
学案
试题
素材
竞赛
套卷
专栏
名师博客
文章中心
中考模拟
教研天地
网站公告
金榜特供
备课中心
中考真题
中考资讯
美文欣赏
您的位置:
教学资源网
>>
试卷
>>
数学试卷
四川省南江县第四中学11-12学年八年级上学期期中考试试题(数学)
下载扣点方式
需消耗
0
金币
立即下载
0
个贡献点
立即下载
0
个黄金点
立即下载
VIP下载通道>>>
如何获取点数>>
提示:本自然月内重复下载不再扣除点数
资源类别
试卷
资源子类
期中考试
教材版本
不限
所属学科
初中数学
适用年级
八年级
适用地区
全国通用
文件大小
290
K
上传用户
songweiwei
更新时间
2011/12/21 11:37:36
下载统计
今日
0
总计
19
评论
(
0
)
发表评论
报错(
0
)
我要报错
收藏
1
0
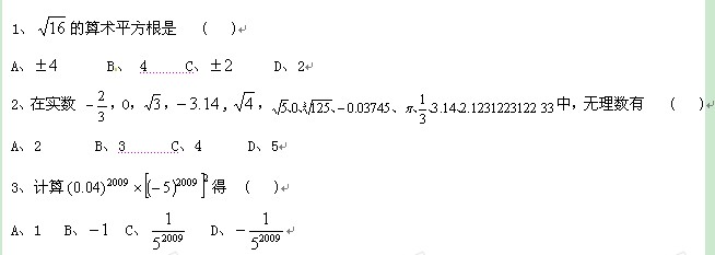
资源简介
相关资源
高级搜索
·
教师用书Word版文档26JN12
2025/9/20 15:45:22
·
多媒体互动教学课件26JN12
2025/9/20 15:45:19
·
Word版金榜教案26JN12
2025/9/20 15:45:16
·
第一章 1.2 1.2.2 数轴
2025/9/20 15:45:13
·
第一章 1.2 1.2.1 有理数的概念
2025/9/20 15:44:57
用户评论
查看该资源所有评论
暂时没有相关评论
最新套卷
·
福建省龙海市石码片2017届九年级上学期期中考试试题
·
福建省龙海市第二中学2017届九年级上学期期中考试试题
·
福建省龙海市2016-2017学年八年级上学期期中考试试题
·
福建省福清市2019届九年级上学期期中考试试题
·
福建省福清市2016-2017学年八年级上学期期中考试试题
精品专题
最新上传
·
Word版金榜教案6JU12-GUZ
·
多媒体互动教学课件26JU12-GUZ
·
多媒体互动教学课件16JU12-GUZ
·
第一单元 第二课 第一框 认识自己
·
第一单元 第一课 第二框 规划初中生活
推荐资源
·
【浙教版】2024八年级数学下学期期中全真模拟卷1含解析
·
【浙教版】2024八年级数学下学期期中模拟卷一含解析
·
【浙教版】2024八年级数学下学期期中检测卷含解析
·
湖南省益阳市2023学年七年级生物上册期末试卷及答案
·
江苏省宿迁市2023学年七年级生物上册期末试卷及答案
请先登录网站
关闭
用户名
密 码
忘记密码
新用户注册