金榜书城
公司网站
学问百事通
用户名:
密码:
注册
忘记密码
账号激活
欢迎你,
上传资源
会员中心
退出登录
·
设为首页
·
加入收藏
学科
语文
数学
英语
物理
化学
生物
政治
历史
地理
科学
综合
跨科
资源
试卷
课件
教案
学案
试题
素材
竞赛
套卷
专栏
名师博客
文章中心
中考模拟
教研天地
网站公告
金榜特供
备课中心
中考真题
中考资讯
美文欣赏
您的位置:
教学资源网
>>
试题
>>
数学试题
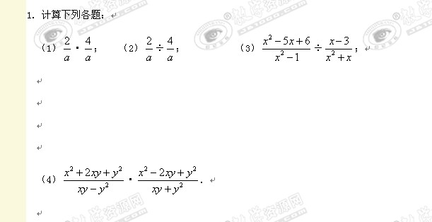
数学:八年级随堂演练《分式的运算》5同步练习
下载扣点方式
需消耗
0
金币
立即下载
0
个贡献点
立即下载
0
个黄金点
立即下载
VIP下载通道>>>
如何获取点数>>
提示:本自然月内重复下载不再扣除点数
资源类别
试题
资源子类
一课一练
教材版本
不限
所属学科
初中数学
适用年级
八年级
适用地区
全国通用
文件大小
127
K
上传用户
sumaxx
更新时间
2011/5/12 10:19:31
下载统计
今日
0
总计
30
评论
(
0
)
发表评论
报错(
0
)
我要报错
收藏
1
0
资源简介
相关资源
高级搜索
·
复习数学图书配套课件
2026/1/5 11:56:18
·
复习数学Word版图书文档
2026/1/5 11:48:48
·
复习数学第一讲 实数
2026/1/5 11:47:43
·
复习数学第五讲 一次方程(组)
2026/1/5 11:47:29
·
复习数学第四讲 二次根式
2026/1/5 11:47:18
用户评论
查看该资源所有评论
暂时没有相关评论
最新套卷
·
福建省龙海市石码片2017届九年级上学期期中考试试题
·
福建省龙海市第二中学2017届九年级上学期期中考试试题
·
福建省龙海市2016-2017学年八年级上学期期中考试试题
·
福建省福清市2019届九年级上学期期中考试试题
·
福建省福清市2016-2017学年八年级上学期期中考试试题
精品专题
最新上传
·
Word版图书文档26JHYP130-GX
·
图书配套课件26JHYP130-GX
·
英语湖南中考配套课件
·
英语湖南中考Word版图书文档
·
英语湖南中考七年级下册 Units 9~12
推荐资源
·
八年级语文期末模拟卷(南京专用,下册1_6单元)-学易金卷:2025年八年级语文下学期期
·
八年级语文期末模拟卷(辽宁专用,下册1_6单元)-学易金卷:2025年初中下学期期末模拟
·
八年级语文期末模拟卷(江西专用,下册1_6单元)-学易金卷:2025年初中下学期期末模拟
·
【浙教版】2024八年级数学下学期期中全真模拟卷1含解析
·
【浙教版】2024八年级数学下学期期中模拟卷一含解析
请先登录网站
关闭
用户名
密 码
忘记密码
新用户注册